13. 图 - 遍历(BFS & DFS)
# 13. 图 - 遍历(BFS & DFS)
# 深度优先搜索
# 深度优先搜索介绍
它的思想: 假设初始状态是图中所有顶点均未被访问,则从某个顶点v出发,首先访问该顶点,然后依次从它的各个未被访问的邻接点出发深度优先搜索遍历图,直至图中所有和v有路径相通的顶点都被访问到。 若此时尚有其他顶点未被访问到,则另选一个未被访问的顶点作起始点,重复上述过程,直至图中所有顶点都被访问到为止。
显然,深度优先搜索是一个递归的过程。
# 深度优先搜索图解
# 无向图的深度优先搜索
下面以"无向图"为例,来对深度优先搜索进行演示。

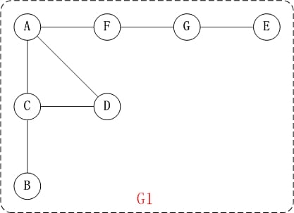
对上面的图G1进行深度优先遍历,从顶点A开始。

第1步: 访问A。
第2步: 访问(A的邻接点)C。 在第1步访问A之后,接下来应该访问的是A的邻接点,即"C,D,F"中的一个。但在本文的实现中,顶点ABCDEFG是按照顺序存储,C在"D和F"的前面,因此,先访问C。
第3步: 访问(C的邻接点)B。 在第2步访问C之后,接下来应该访问C的邻接点,即"B和D"中一个(A已经被访问过,就不算在内)。而由于B在D之前,先访问B。
第4步: 访问(C的邻接点)D。 在第3步访问了C的邻接点B之后,B没有未被访问的邻接点;因此,返回到访问C的另一个邻接点D。
第5步: 访问(A的邻接点)F。 前面已经访问了A,并且访问完了"A的邻接点B的所有邻接点(包括递归的邻接点在内)";因此,此时返回到访问A的另一个邻接点F。
第6步: 访问(F的邻接点)G。
第7步: 访问(G的邻接点)E。
因此访问顺序是: A -> C -> B -> D -> F -> G -> E
# 有向图的深度优先搜索
下面以"有向图"为例,来对深度优先搜索进行演示。

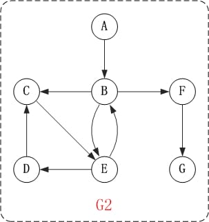
对上面的图G2进行深度优先遍历,从顶点A开始。

第1步: 访问A。
第2步: 访问B。 在访问了A之后,接下来应该访问的是A的出边的另一个顶点,即顶点B。
第3步: 访问C。 在访问了B之后,接下来应该访问的是B的出边的另一个顶点,即顶点C,E,F。在本文实现的图中,顶点ABCDEFG按照顺序存储,因此先访问C。
第4步: 访问E。 接下来访问C的出边的另一个顶点,即顶点E。
第5步: 访问D。 接下来访问E的出边的另一个顶点,即顶点B,D。顶点B已经被访问过,因此访问顶点D。
第6步: 访问F。 接下应该回溯"访问A的出边的另一个顶点F"。
第7步: 访问G。
因此访问顺序是: A -> B -> C -> E -> D -> F -> G
# 广度优先搜索
# 广度优先搜索介绍
广度优先搜索算法(Breadth First Search),又称为"宽度优先搜索"或"横向优先搜索",简称BFS。
它的思想是: 从图中某顶点v出发,在访问了v之后依次访问v的各个未曾访问过的邻接点,然后分别从这些邻接点出发依次访问它们的邻接点,并使得"先被访问的顶点的邻接点先于后被访问的顶点的邻接点被访问,直至图中所有已被访问的顶点的邻接点都被访问到。如果此时图中尚有顶点未被访问,则需要另选一个未曾被访问过的顶点作为新的起始点,重复上述过程,直至图中所有顶点都被访问到为止。
换句话说,广度优先搜索遍历图的过程是以v为起点,由近至远,依次访问和v有路径相通且路径长度为1,2...的顶点。
# 广度优先搜索图解
# 无向图的广度优先搜索
下面以"无向图"为例,来对广度优先搜索进行演示。还是以上面的图G1为例进行说明。

第1步: 访问A。
第2步: 依次访问C,D,F。 在访问了A之后,接下来访问A的邻接点。前面已经说过,在本文实现中,顶点ABCDEFG按照顺序存储的,C在"D和F"的前面,因此,先访问C。再访问完C之后,再依次访问D,F。
第3步: 依次访问B,G。 在第2步访问完C,D,F之后,再依次访问它们的邻接点。首先访问C的邻接点B,再访问F的邻接点G。
第4步: 访问E。 在第3步访问完B,G之后,再依次访问它们的邻接点。只有G有邻接点E,因此访问G的邻接点E。
因此访问顺序是: A -> C -> D -> F -> B -> G -> E
# 有向图的广度优先搜索
下面以"有向图"为例,来对广度优先搜索进行演示。还是以上面的图G2为例进行说明。

第1步: 访问A。
第2步: 访问B。
第3步: 依次访问C,E,F。 在访问了B之后,接下来访问B的出边的另一个顶点,即C,E,F。前面已经说过,在本文实现中,顶点ABCDEFG按照顺序存储的,因此会先访问C,再依次访问E,F。
第4步: 依次访问D,G。 在访问完C,E,F之后,再依次访问它们的出边的另一个顶点。还是按照C,E,F的顺序访问,C的已经全部访问过了,那么就只剩下E,F;先访问E的邻接点D,再访问F的邻接点G。
因此访问顺序是: A -> B -> C -> E -> F -> D -> G
# 相关实现
# 邻接矩阵实现无向图
import java.io.IOException;
import java.util.Scanner;
public class MatrixUDG {
private char[] mVexs; // 顶点集合
private int[][] mMatrix; // 邻接矩阵
/*
* 创建图(自己输入数据)
*/
public MatrixUDG() {
// 输入"顶点数"和"边数"
System.out.printf("input vertex number: ");
int vlen = readInt();
System.out.printf("input edge number: ");
int elen = readInt();
if ( vlen < 1 || elen < 1 || (elen > (vlen*(vlen - 1)))) {
System.out.printf("input error: invalid parameters!\n");
return ;
}
// 初始化"顶点"
mVexs = new char[vlen];
for (int i = 0; i < mVexs.length; i++) {
System.out.printf("vertex(%d): ", i);
mVexs[i] = readChar();
}
// 初始化"边"
mMatrix = new int[vlen][vlen];
for (int i = 0; i < elen; i++) {
// 读取边的起始顶点和结束顶点
System.out.printf("edge(%d):", i);
char c1 = readChar();
char c2 = readChar();
int p1 = getPosition(c1);
int p2 = getPosition(c2);
if (p1==-1 || p2==-1) {
System.out.printf("input error: invalid edge!\n");
return ;
}
mMatrix[p1][p2] = 1;
mMatrix[p2][p1] = 1;
}
}
/*
* 创建图(用已提供的矩阵)
*
* 参数说明:
* vexs -- 顶点数组
* edges -- 边数组
*/
public MatrixUDG(char[] vexs, char[][] edges) {
// 初始化"顶点数"和"边数"
int vlen = vexs.length;
int elen = edges.length;
// 初始化"顶点"
mVexs = new char[vlen];
for (int i = 0; i < mVexs.length; i++)
mVexs[i] = vexs[i];
// 初始化"边"
mMatrix = new int[vlen][vlen];
for (int i = 0; i < elen; i++) {
// 读取边的起始顶点和结束顶点
int p1 = getPosition(edges[i][0]);
int p2 = getPosition(edges[i][1]);
mMatrix[p1][p2] = 1;
mMatrix[p2][p1] = 1;
}
}
/*
* 返回ch位置
*/
private int getPosition(char ch) {
for(int i=0; i<mVexs.length; i++)
if(mVexs[i]==ch)
return i;
return -1;
}
/*
* 读取一个输入字符
*/
private char readChar() {
char ch='0';
do {
try {
ch = (char)System.in.read();
} catch (IOException e) {
e.printStackTrace();
}
} while(!((ch>='a'&&ch<='z') || (ch>='A'&&ch<='Z')));
return ch;
}
/*
* 读取一个输入字符
*/
private int readInt() {
Scanner scanner = new Scanner(System.in);
return scanner.nextInt();
}
/*
* 返回顶点v的第一个邻接顶点的索引,失败则返回-1
*/
private int firstVertex(int v) {
if (v<0 || v>(mVexs.length-1))
return -1;
for (int i = 0; i < mVexs.length; i++)
if (mMatrix[v][i] == 1)
return i;
return -1;
}
/*
* 返回顶点v相对于w的下一个邻接顶点的索引,失败则返回-1
*/
private int nextVertex(int v, int w) {
if (v<0 || v>(mVexs.length-1) || w<0 || w>(mVexs.length-1))
return -1;
for (int i = w + 1; i < mVexs.length; i++)
if (mMatrix[v][i] == 1)
return i;
return -1;
}
/*
* 深度优先搜索遍历图的递归实现
*/
private void DFS(int i, boolean[] visited) {
visited[i] = true;
System.out.printf("%c ", mVexs[i]);
// 遍历该顶点的所有邻接顶点。若是没有访问过,那么继续往下走
for (int w = firstVertex(i); w >= 0; w = nextVertex(i, w)) {
if (!visited[w])
DFS(w, visited);
}
}
/*
* 深度优先搜索遍历图
*/
public void DFS() {
boolean[] visited = new boolean[mVexs.length]; // 顶点访问标记
// 初始化所有顶点都没有被访问
for (int i = 0; i < mVexs.length; i++)
visited[i] = false;
System.out.printf("DFS: ");
for (int i = 0; i < mVexs.length; i++) {
if (!visited[i])
DFS(i, visited);
}
System.out.printf("\n");
}
/*
* 广度优先搜索(类似于树的层次遍历)
*/
public void BFS() {
int head = 0;
int rear = 0;
int[] queue = new int[mVexs.length]; // 辅组队列
boolean[] visited = new boolean[mVexs.length]; // 顶点访问标记
for (int i = 0; i < mVexs.length; i++)
visited[i] = false;
System.out.printf("BFS: ");
for (int i = 0; i < mVexs.length; i++) {
if (!visited[i]) {
visited[i] = true;
System.out.printf("%c ", mVexs[i]);
queue[rear++] = i; // 入队列
}
while (head != rear) {
int j = queue[head++]; // 出队列
for (int k = firstVertex(j); k >= 0; k = nextVertex(j, k)) { //k是为访问的邻接顶点
if (!visited[k]) {
visited[k] = true;
System.out.printf("%c ", mVexs[k]);
queue[rear++] = k;
}
}
}
}
System.out.printf("\n");
}
/*
* 打印矩阵队列图
*/
public void print() {
System.out.printf("Martix Graph:\n");
for (int i = 0; i < mVexs.length; i++) {
for (int j = 0; j < mVexs.length; j++)
System.out.printf("%d ", mMatrix[i][j]);
System.out.printf("\n");
}
}
public static void main(String[] args) {
char[] vexs = {'A', 'B', 'C', 'D', 'E', 'F', 'G'};
char[][] edges = new char[][]{
{'A', 'C'},
{'A', 'D'},
{'A', 'F'},
{'B', 'C'},
{'C', 'D'},
{'E', 'G'},
{'F', 'G'}};
MatrixUDG pG;
// 自定义"图"(输入矩阵队列)
//pG = new MatrixUDG();
// 采用已有的"图"
pG = new MatrixUDG(vexs, edges);
pG.print(); // 打印图
pG.DFS(); // 深度优先遍历
pG.BFS(); // 广度优先遍历
}
}
2
3
4
5
6
7
8
9
10
11
12
13
14
15
16
17
18
19
20
21
22
23
24
25
26
27
28
29
30
31
32
33
34
35
36
37
38
39
40
41
42
43
44
45
46
47
48
49
50
51
52
53
54
55
56
57
58
59
60
61
62
63
64
65
66
67
68
69
70
71
72
73
74
75
76
77
78
79
80
81
82
83
84
85
86
87
88
89
90
91
92
93
94
95
96
97
98
99
100
101
102
103
104
105
106
107
108
109
110
111
112
113
114
115
116
117
118
119
120
121
122
123
124
125
126
127
128
129
130
131
132
133
134
135
136
137
138
139
140
141
142
143
144
145
146
147
148
149
150
151
152
153
154
155
156
157
158
159
160
161
162
163
164
165
166
167
168
169
170
171
172
173
174
175
176
177
178
179
180
181
182
183
184
185
186
187
188
189
190
191
192
193
194
195
196
197
198
199
200
201
202
203
204
205
206
207
208
209
210
211
212
213
214
215
216
217
218
219
220
221
222
223
224
225
226
227
228
229
230
231
232
233
234
235
236
237
238
239
240
241
242
243
244
245
# 邻接表实现的无向图
import java.io.IOException;
import java.util.Scanner;
public class ListUDG {
// 邻接表中表对应的链表的顶点
private class ENode {
int ivex; // 该边所指向的顶点的位置
ENode nextEdge; // 指向下一条弧的指针
}
// 邻接表中表的顶点
private class VNode {
char data; // 顶点信息
ENode firstEdge; // 指向第一条依附该顶点的弧
};
private VNode[] mVexs; // 顶点数组
/*
* 创建图(自己输入数据)
*/
public ListUDG() {
// 输入"顶点数"和"边数"
System.out.printf("input vertex number: ");
int vlen = readInt();
System.out.printf("input edge number: ");
int elen = readInt();
if ( vlen < 1 || elen < 1 || (elen > (vlen*(vlen - 1)))) {
System.out.printf("input error: invalid parameters!\n");
return ;
}
// 初始化"顶点"
mVexs = new VNode[vlen];
for (int i = 0; i < mVexs.length; i++) {
System.out.printf("vertex(%d): ", i);
mVexs[i] = new VNode();
mVexs[i].data = readChar();
mVexs[i].firstEdge = null;
}
// 初始化"边"
//mMatrix = new int[vlen][vlen];
for (int i = 0; i < elen; i++) {
// 读取边的起始顶点和结束顶点
System.out.printf("edge(%d):", i);
char c1 = readChar();
char c2 = readChar();
int p1 = getPosition(c1);
int p2 = getPosition(c2);
// 初始化node1
ENode node1 = new ENode();
node1.ivex = p2;
// 将node1链接到"p1所在链表的末尾"
if(mVexs[p1].firstEdge == null)
mVexs[p1].firstEdge = node1;
else
linkLast(mVexs[p1].firstEdge, node1);
// 初始化node2
ENode node2 = new ENode();
node2.ivex = p1;
// 将node2链接到"p2所在链表的末尾"
if(mVexs[p2].firstEdge == null)
mVexs[p2].firstEdge = node2;
else
linkLast(mVexs[p2].firstEdge, node2);
}
}
/*
* 创建图(用已提供的矩阵)
*
* 参数说明:
* vexs -- 顶点数组
* edges -- 边数组
*/
public ListUDG(char[] vexs, char[][] edges) {
// 初始化"顶点数"和"边数"
int vlen = vexs.length;
int elen = edges.length;
// 初始化"顶点"
mVexs = new VNode[vlen];
for (int i = 0; i < mVexs.length; i++) {
mVexs[i] = new VNode();
mVexs[i].data = vexs[i];
mVexs[i].firstEdge = null;
}
// 初始化"边"
for (int i = 0; i < elen; i++) {
// 读取边的起始顶点和结束顶点
char c1 = edges[i][0];
char c2 = edges[i][1];
// 读取边的起始顶点和结束顶点
int p1 = getPosition(edges[i][0]);
int p2 = getPosition(edges[i][1]);
// 初始化node1
ENode node1 = new ENode();
node1.ivex = p2;
// 将node1链接到"p1所在链表的末尾"
if(mVexs[p1].firstEdge == null)
mVexs[p1].firstEdge = node1;
else
linkLast(mVexs[p1].firstEdge, node1);
// 初始化node2
ENode node2 = new ENode();
node2.ivex = p1;
// 将node2链接到"p2所在链表的末尾"
if(mVexs[p2].firstEdge == null)
mVexs[p2].firstEdge = node2;
else
linkLast(mVexs[p2].firstEdge, node2);
}
}
/*
* 将node节点链接到list的最后
*/
private void linkLast(ENode list, ENode node) {
ENode p = list;
while(p.nextEdge!=null)
p = p.nextEdge;
p.nextEdge = node;
}
/*
* 返回ch位置
*/
private int getPosition(char ch) {
for(int i=0; i<mVexs.length; i++)
if(mVexs[i].data==ch)
return i;
return -1;
}
/*
* 读取一个输入字符
*/
private char readChar() {
char ch='0';
do {
try {
ch = (char)System.in.read();
} catch (IOException e) {
e.printStackTrace();
}
} while(!((ch>='a'&&ch<='z') || (ch>='A'&&ch<='Z')));
return ch;
}
/*
* 读取一个输入字符
*/
private int readInt() {
Scanner scanner = new Scanner(System.in);
return scanner.nextInt();
}
/*
* 深度优先搜索遍历图的递归实现
*/
private void DFS(int i, boolean[] visited) {
ENode node;
visited[i] = true;
System.out.printf("%c ", mVexs[i].data);
node = mVexs[i].firstEdge;
while (node != null) {
if (!visited[node.ivex])
DFS(node.ivex, visited);
node = node.nextEdge;
}
}
/*
* 深度优先搜索遍历图
*/
public void DFS() {
boolean[] visited = new boolean[mVexs.length]; // 顶点访问标记
// 初始化所有顶点都没有被访问
for (int i = 0; i < mVexs.length; i++)
visited[i] = false;
System.out.printf("DFS: ");
for (int i = 0; i < mVexs.length; i++) {
if (!visited[i])
DFS(i, visited);
}
System.out.printf("\n");
}
/*
* 广度优先搜索(类似于树的层次遍历)
*/
public void BFS() {
int head = 0;
int rear = 0;
int[] queue = new int[mVexs.length]; // 辅组队列
boolean[] visited = new boolean[mVexs.length]; // 顶点访问标记
for (int i = 0; i < mVexs.length; i++)
visited[i] = false;
System.out.printf("BFS: ");
for (int i = 0; i < mVexs.length; i++) {
if (!visited[i]) {
visited[i] = true;
System.out.printf("%c ", mVexs[i].data);
queue[rear++] = i; // 入队列
}
while (head != rear) {
int j = queue[head++]; // 出队列
ENode node = mVexs[j].firstEdge;
while (node != null) {
int k = node.ivex;
if (!visited[k])
{
visited[k] = true;
System.out.printf("%c ", mVexs[k].data);
queue[rear++] = k;
}
node = node.nextEdge;
}
}
}
System.out.printf("\n");
}
/*
* 打印矩阵队列图
*/
public void print() {
System.out.printf("List Graph:\n");
for (int i = 0; i < mVexs.length; i++) {
System.out.printf("%d(%c): ", i, mVexs[i].data);
ENode node = mVexs[i].firstEdge;
while (node != null) {
System.out.printf("%d(%c) ", node.ivex, mVexs[node.ivex].data);
node = node.nextEdge;
}
System.out.printf("\n");
}
}
public static void main(String[] args) {
char[] vexs = {'A', 'B', 'C', 'D', 'E', 'F', 'G'};
char[][] edges = new char[][]{
{'A', 'C'},
{'A', 'D'},
{'A', 'F'},
{'B', 'C'},
{'C', 'D'},
{'E', 'G'},
{'F', 'G'}};
ListUDG pG;
// 自定义"图"(输入矩阵队列)
//pG = new ListUDG();
// 采用已有的"图"
pG = new ListUDG(vexs, edges);
pG.print(); // 打印图
pG.DFS(); // 深度优先遍历
pG.BFS(); // 广度优先遍历
}
}
2
3
4
5
6
7
8
9
10
11
12
13
14
15
16
17
18
19
20
21
22
23
24
25
26
27
28
29
30
31
32
33
34
35
36
37
38
39
40
41
42
43
44
45
46
47
48
49
50
51
52
53
54
55
56
57
58
59
60
61
62
63
64
65
66
67
68
69
70
71
72
73
74
75
76
77
78
79
80
81
82
83
84
85
86
87
88
89
90
91
92
93
94
95
96
97
98
99
100
101
102
103
104
105
106
107
108
109
110
111
112
113
114
115
116
117
118
119
120
121
122
123
124
125
126
127
128
129
130
131
132
133
134
135
136
137
138
139
140
141
142
143
144
145
146
147
148
149
150
151
152
153
154
155
156
157
158
159
160
161
162
163
164
165
166
167
168
169
170
171
172
173
174
175
176
177
178
179
180
181
182
183
184
185
186
187
188
189
190
191
192
193
194
195
196
197
198
199
200
201
202
203
204
205
206
207
208
209
210
211
212
213
214
215
216
217
218
219
220
221
222
223
224
225
226
227
228
229
230
231
232
233
234
235
236
237
238
239
240
241
242
243
244
245
246
247
248
249
250
251
252
253
254
255
256
257
258
259
260
261
262
263
264
265
266
267
268
269
270
271
272
273
274
275
276
# 邻接矩阵实现的有向图
import java.io.IOException;
import java.util.Scanner;
public class MatrixDG {
private char[] mVexs; // 顶点集合
private int[][] mMatrix; // 邻接矩阵
/*
* 创建图(自己输入数据)
*/
public MatrixDG() {
// 输入"顶点数"和"边数"
System.out.printf("input vertex number: ");
int vlen = readInt();
System.out.printf("input edge number: ");
int elen = readInt();
if ( vlen < 1 || elen < 1 || (elen > (vlen*(vlen - 1)))) {
System.out.printf("input error: invalid parameters!\n");
return ;
}
// 初始化"顶点"
mVexs = new char[vlen];
for (int i = 0; i < mVexs.length; i++) {
System.out.printf("vertex(%d): ", i);
mVexs[i] = readChar();
}
// 初始化"边"
mMatrix = new int[vlen][vlen];
for (int i = 0; i < elen; i++) {
// 读取边的起始顶点和结束顶点
System.out.printf("edge(%d):", i);
char c1 = readChar();
char c2 = readChar();
int p1 = getPosition(c1);
int p2 = getPosition(c2);
if (p1==-1 || p2==-1) {
System.out.printf("input error: invalid edge!\n");
return ;
}
mMatrix[p1][p2] = 1;
}
}
/*
* 创建图(用已提供的矩阵)
*
* 参数说明:
* vexs -- 顶点数组
* edges -- 边数组
*/
public MatrixDG(char[] vexs, char[][] edges) {
// 初始化"顶点数"和"边数"
int vlen = vexs.length;
int elen = edges.length;
// 初始化"顶点"
mVexs = new char[vlen];
for (int i = 0; i < mVexs.length; i++)
mVexs[i] = vexs[i];
// 初始化"边"
mMatrix = new int[vlen][vlen];
for (int i = 0; i < elen; i++) {
// 读取边的起始顶点和结束顶点
int p1 = getPosition(edges[i][0]);
int p2 = getPosition(edges[i][1]);
mMatrix[p1][p2] = 1;
}
}
/*
* 返回ch位置
*/
private int getPosition(char ch) {
for(int i=0; i<mVexs.length; i++)
if(mVexs[i]==ch)
return i;
return -1;
}
/*
* 读取一个输入字符
*/
private char readChar() {
char ch='0';
do {
try {
ch = (char)System.in.read();
} catch (IOException e) {
e.printStackTrace();
}
} while(!((ch>='a'&&ch<='z') || (ch>='A'&&ch<='Z')));
return ch;
}
/*
* 读取一个输入字符
*/
private int readInt() {
Scanner scanner = new Scanner(System.in);
return scanner.nextInt();
}
/*
* 返回顶点v的第一个邻接顶点的索引,失败则返回-1
*/
private int firstVertex(int v) {
if (v<0 || v>(mVexs.length-1))
return -1;
for (int i = 0; i < mVexs.length; i++)
if (mMatrix[v][i] == 1)
return i;
return -1;
}
/*
* 返回顶点v相对于w的下一个邻接顶点的索引,失败则返回-1
*/
private int nextVertex(int v, int w) {
if (v<0 || v>(mVexs.length-1) || w<0 || w>(mVexs.length-1))
return -1;
for (int i = w + 1; i < mVexs.length; i++)
if (mMatrix[v][i] == 1)
return i;
return -1;
}
/*
* 深度优先搜索遍历图的递归实现
*/
private void DFS(int i, boolean[] visited) {
visited[i] = true;
System.out.printf("%c ", mVexs[i]);
// 遍历该顶点的所有邻接顶点。若是没有访问过,那么继续往下走
for (int w = firstVertex(i); w >= 0; w = nextVertex(i, w)) {
if (!visited[w])
DFS(w, visited);
}
}
/*
* 深度优先搜索遍历图
*/
public void DFS() {
boolean[] visited = new boolean[mVexs.length]; // 顶点访问标记
// 初始化所有顶点都没有被访问
for (int i = 0; i < mVexs.length; i++)
visited[i] = false;
System.out.printf("DFS: ");
for (int i = 0; i < mVexs.length; i++) {
if (!visited[i])
DFS(i, visited);
}
System.out.printf("\n");
}
/*
* 广度优先搜索(类似于树的层次遍历)
*/
public void BFS() {
int head = 0;
int rear = 0;
int[] queue = new int[mVexs.length]; // 辅组队列
boolean[] visited = new boolean[mVexs.length]; // 顶点访问标记
for (int i = 0; i < mVexs.length; i++)
visited[i] = false;
System.out.printf("BFS: ");
for (int i = 0; i < mVexs.length; i++) {
if (!visited[i]) {
visited[i] = true;
System.out.printf("%c ", mVexs[i]);
queue[rear++] = i; // 入队列
}
while (head != rear) {
int j = queue[head++]; // 出队列
for (int k = firstVertex(j); k >= 0; k = nextVertex(j, k)) { //k是为访问的邻接顶点
if (!visited[k]) {
visited[k] = true;
System.out.printf("%c ", mVexs[k]);
queue[rear++] = k;
}
}
}
}
System.out.printf("\n");
}
/*
* 打印矩阵队列图
*/
public void print() {
System.out.printf("Martix Graph:\n");
for (int i = 0; i < mVexs.length; i++) {
for (int j = 0; j < mVexs.length; j++)
System.out.printf("%d ", mMatrix[i][j]);
System.out.printf("\n");
}
}
public static void main(String[] args) {
char[] vexs = {'A', 'B', 'C', 'D', 'E', 'F', 'G'};
char[][] edges = new char[][]{
{'A', 'B'},
{'B', 'C'},
{'B', 'E'},
{'B', 'F'},
{'C', 'E'},
{'D', 'C'},
{'E', 'B'},
{'E', 'D'},
{'F', 'G'}};
MatrixDG pG;
// 自定义"图"(输入矩阵队列)
//pG = new MatrixDG();
// 采用已有的"图"
pG = new MatrixDG(vexs, edges);
pG.print(); // 打印图
pG.DFS(); // 深度优先遍历
pG.BFS(); // 广度优先遍历
}
}
2
3
4
5
6
7
8
9
10
11
12
13
14
15
16
17
18
19
20
21
22
23
24
25
26
27
28
29
30
31
32
33
34
35
36
37
38
39
40
41
42
43
44
45
46
47
48
49
50
51
52
53
54
55
56
57
58
59
60
61
62
63
64
65
66
67
68
69
70
71
72
73
74
75
76
77
78
79
80
81
82
83
84
85
86
87
88
89
90
91
92
93
94
95
96
97
98
99
100
101
102
103
104
105
106
107
108
109
110
111
112
113
114
115
116
117
118
119
120
121
122
123
124
125
126
127
128
129
130
131
132
133
134
135
136
137
138
139
140
141
142
143
144
145
146
147
148
149
150
151
152
153
154
155
156
157
158
159
160
161
162
163
164
165
166
167
168
169
170
171
172
173
174
175
176
177
178
179
180
181
182
183
184
185
186
187
188
189
190
191
192
193
194
195
196
197
198
199
200
201
202
203
204
205
206
207
208
209
210
211
212
213
214
215
216
217
218
219
220
221
222
223
224
225
226
227
228
229
230
231
232
233
234
235
236
237
238
239
240
241
242
243
244
245
# 邻接表实现的有向图
import java.io.IOException;
import java.util.Scanner;
public class ListDG {
// 邻接表中表对应的链表的顶点
private class ENode {
int ivex; // 该边所指向的顶点的位置
ENode nextEdge; // 指向下一条弧的指针
}
// 邻接表中表的顶点
private class VNode {
char data; // 顶点信息
ENode firstEdge; // 指向第一条依附该顶点的弧
};
private VNode[] mVexs; // 顶点数组
/*
* 创建图(自己输入数据)
*/
public ListDG() {
// 输入"顶点数"和"边数"
System.out.printf("input vertex number: ");
int vlen = readInt();
System.out.printf("input edge number: ");
int elen = readInt();
if ( vlen < 1 || elen < 1 || (elen > (vlen*(vlen - 1)))) {
System.out.printf("input error: invalid parameters!\n");
return ;
}
// 初始化"顶点"
mVexs = new VNode[vlen];
for (int i = 0; i < mVexs.length; i++) {
System.out.printf("vertex(%d): ", i);
mVexs[i] = new VNode();
mVexs[i].data = readChar();
mVexs[i].firstEdge = null;
}
// 初始化"边"
//mMatrix = new int[vlen][vlen];
for (int i = 0; i < elen; i++) {
// 读取边的起始顶点和结束顶点
System.out.printf("edge(%d):", i);
char c1 = readChar();
char c2 = readChar();
int p1 = getPosition(c1);
int p2 = getPosition(c2);
// 初始化node1
ENode node1 = new ENode();
node1.ivex = p2;
// 将node1链接到"p1所在链表的末尾"
if(mVexs[p1].firstEdge == null)
mVexs[p1].firstEdge = node1;
else
linkLast(mVexs[p1].firstEdge, node1);
}
}
/*
* 创建图(用已提供的矩阵)
*
* 参数说明:
* vexs -- 顶点数组
* edges -- 边数组
*/
public ListDG(char[] vexs, char[][] edges) {
// 初始化"顶点数"和"边数"
int vlen = vexs.length;
int elen = edges.length;
// 初始化"顶点"
mVexs = new VNode[vlen];
for (int i = 0; i < mVexs.length; i++) {
mVexs[i] = new VNode();
mVexs[i].data = vexs[i];
mVexs[i].firstEdge = null;
}
// 初始化"边"
for (int i = 0; i < elen; i++) {
// 读取边的起始顶点和结束顶点
char c1 = edges[i][0];
char c2 = edges[i][1];
// 读取边的起始顶点和结束顶点
int p1 = getPosition(edges[i][0]);
int p2 = getPosition(edges[i][1]);
// 初始化node1
ENode node1 = new ENode();
node1.ivex = p2;
// 将node1链接到"p1所在链表的末尾"
if(mVexs[p1].firstEdge == null)
mVexs[p1].firstEdge = node1;
else
linkLast(mVexs[p1].firstEdge, node1);
}
}
/*
* 将node节点链接到list的最后
*/
private void linkLast(ENode list, ENode node) {
ENode p = list;
while(p.nextEdge!=null)
p = p.nextEdge;
p.nextEdge = node;
}
/*
* 返回ch位置
*/
private int getPosition(char ch) {
for(int i=0; i<mVexs.length; i++)
if(mVexs[i].data==ch)
return i;
return -1;
}
/*
* 读取一个输入字符
*/
private char readChar() {
char ch='0';
do {
try {
ch = (char)System.in.read();
} catch (IOException e) {
e.printStackTrace();
}
} while(!((ch>='a'&&ch<='z') || (ch>='A'&&ch<='Z')));
return ch;
}
/*
* 读取一个输入字符
*/
private int readInt() {
Scanner scanner = new Scanner(System.in);
return scanner.nextInt();
}
/*
* 深度优先搜索遍历图的递归实现
*/
private void DFS(int i, boolean[] visited) {
ENode node;
visited[i] = true;
System.out.printf("%c ", mVexs[i].data);
node = mVexs[i].firstEdge;
while (node != null) {
if (!visited[node.ivex])
DFS(node.ivex, visited);
node = node.nextEdge;
}
}
/*
* 深度优先搜索遍历图
*/
public void DFS() {
boolean[] visited = new boolean[mVexs.length]; // 顶点访问标记
// 初始化所有顶点都没有被访问
for (int i = 0; i < mVexs.length; i++)
visited[i] = false;
System.out.printf("DFS: ");
for (int i = 0; i < mVexs.length; i++) {
if (!visited[i])
DFS(i, visited);
}
System.out.printf("\n");
}
/*
* 广度优先搜索(类似于树的层次遍历)
*/
public void BFS() {
int head = 0;
int rear = 0;
int[] queue = new int[mVexs.length]; // 辅组队列
boolean[] visited = new boolean[mVexs.length]; // 顶点访问标记
for (int i = 0; i < mVexs.length; i++)
visited[i] = false;
System.out.printf("BFS: ");
for (int i = 0; i < mVexs.length; i++) {
if (!visited[i]) {
visited[i] = true;
System.out.printf("%c ", mVexs[i].data);
queue[rear++] = i; // 入队列
}
while (head != rear) {
int j = queue[head++]; // 出队列
ENode node = mVexs[j].firstEdge;
while (node != null) {
int k = node.ivex;
if (!visited[k])
{
visited[k] = true;
System.out.printf("%c ", mVexs[k].data);
queue[rear++] = k;
}
node = node.nextEdge;
}
}
}
System.out.printf("\n");
}
/*
* 打印矩阵队列图
*/
public void print() {
System.out.printf("List Graph:\n");
for (int i = 0; i < mVexs.length; i++) {
System.out.printf("%d(%c): ", i, mVexs[i].data);
ENode node = mVexs[i].firstEdge;
while (node != null) {
System.out.printf("%d(%c) ", node.ivex, mVexs[node.ivex].data);
node = node.nextEdge;
}
System.out.printf("\n");
}
}
public static void main(String[] args) {
char[] vexs = {'A', 'B', 'C', 'D', 'E', 'F', 'G'};
char[][] edges = new char[][]{
{'A', 'B'},
{'B', 'C'},
{'B', 'E'},
{'B', 'F'},
{'C', 'E'},
{'D', 'C'},
{'E', 'B'},
{'E', 'D'},
{'F', 'G'}};
ListDG pG;
// 自定义"图"(输入矩阵队列)
//pG = new ListDG();
// 采用已有的"图"
pG = new ListDG(vexs, edges);
pG.print(); // 打印图
pG.DFS(); // 深度优先遍历
pG.BFS(); // 广度优先遍历
}
}
2
3
4
5
6
7
8
9
10
11
12
13
14
15
16
17
18
19
20
21
22
23
24
25
26
27
28
29
30
31
32
33
34
35
36
37
38
39
40
41
42
43
44
45
46
47
48
49
50
51
52
53
54
55
56
57
58
59
60
61
62
63
64
65
66
67
68
69
70
71
72
73
74
75
76
77
78
79
80
81
82
83
84
85
86
87
88
89
90
91
92
93
94
95
96
97
98
99
100
101
102
103
104
105
106
107
108
109
110
111
112
113
114
115
116
117
118
119
120
121
122
123
124
125
126
127
128
129
130
131
132
133
134
135
136
137
138
139
140
141
142
143
144
145
146
147
148
149
150
151
152
153
154
155
156
157
158
159
160
161
162
163
164
165
166
167
168
169
170
171
172
173
174
175
176
177
178
179
180
181
182
183
184
185
186
187
188
189
190
191
192
193
194
195
196
197
198
199
200
201
202
203
204
205
206
207
208
209
210
211
212
213
214
215
216
217
218
219
220
221
222
223
224
225
226
227
228
229
230
231
232
233
234
235
236
237
238
239
240
241
242
243
244
245
246
247
248
249
250
251
252
253
254
255
256
257
258
259
260
261
262
# 参考文章
本文主要参考至 https://www.cnblogs.com/skywang12345/p/3711483.html, 在此基础上做了内容的增改。