07. 排序 - 堆排序(Heap Sort)
# 07. 排序 - 堆排序(Heap Sort)
# 堆排序介绍
学习堆排序之前,有必要了解堆!若读者不熟悉堆,建议先了解堆(建议可以通过二叉堆,左倾堆,斜堆,二项堆或斐波那契堆等文章进行了解),然后再来学习本章。
我们知道,堆分为"最大堆"和"最小堆"。最大堆通常被用来进行"升序"排序,而最小堆通常被用来进行"降序"排序。 鉴于最大堆和最小堆是对称关系,理解其中一种即可。本文将对最大堆实现的升序排序进行详细说明。
最大堆进行升序排序的基本思想: ① 初始化堆: 将数列a[1...n]构造成最大堆。 ② 交换数据: 将a[1]和a[n]交换,使a[n]是a[1...n]中的最大值;然后将a[1...n-1]重新调整为最大堆。 接着,将a[1]和a[n-1]交换,使a[n-1]是a[1...n-1]中的最大值;然后将a[1...n-2]重新调整为最大值。 依次类推,直到整个数列都是有序的。
下面,通过图文来解析堆排序的实现过程。注意实现中用到了"数组实现的二叉堆的性质"。 在第一个元素的索引为 0 的情形中:
- 性质一: 索引为i的左孩子的索引是 (2*i+1);
- 性质二: 索引为i的右孩子的索引是 (2*i+2);
- 性质三: 索引为i的父结点的索引是 floor((i-1)/2);

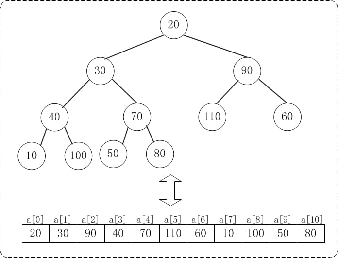
例如,对于最大堆{110,100,90,40,80,20,60,10,30,50,70}而言: 索引为0的左孩子的所有是1;索引为0的右孩子是2;索引为8的父节点是3。
# 堆排序实现
下面演示heap_sort_asc(a, n)对a={20,30,90,40,70,110,60,10,100,50,80}, n=11进行堆排序过程。下面是数组a对应的初始化结构:

# 初始化堆
在堆排序算法中,首先要将待排序的数组转化成二叉堆。 下面演示将数组{20,30,90,40,70,110,60,10,100,50,80}转换为最大堆{110,100,90,40,80,20,60,10,30,50,70}的步骤。
- 1.1 i=11/2-1,即i=4

上面是maxheap_down(a, 4, 9)调整过程。maxheap_down(a, 4, 9)的作用是将a[4...9]进行下调;a[4]的左孩子是a[9],右孩子是a[10]。调整时,选择左右孩子中较大的一个(即a[10])和a[4]交换。
- 1.2 i=3

上面是maxheap_down(a, 3, 9)调整过程。maxheap_down(a, 3, 9)的作用是将a[3...9]进行下调;a[3]的左孩子是a[7],右孩子是a[8]。调整时,选择左右孩子中较大的一个(即a[8])和a[4]交换。
- 1.3 i=2

上面是maxheap_down(a, 2, 9)调整过程。maxheap_down(a, 2, 9)的作用是将a[2...9]进行下调;a[2]的左孩子是a[5],右孩子是a[6]。调整时,选择左右孩子中较大的一个(即a[5])和a[2]交换。
- 1.4 i=1

上面是maxheap_down(a, 1, 9)调整过程。maxheap_down(a, 1, 9)的作用是将a[1...9]进行下调;a[1]的左孩子是a[3],右孩子是a[4]。调整时,选择左右孩子中较大的一个(即a[3])和a[1]交换。交换之后,a[3]为30,它比它的右孩子a[8]要大,接着,再将它们交换。
- 1.5 i=0

上面是maxheap_down(a, 0, 9)调整过程。maxheap_down(a, 0, 9)的作用是将a[0...9]进行下调;a[0]的左孩子是a[1],右孩子是a[2]。调整时,选择左右孩子中较大的一个(即a[2])和a[0]交换。交换之后,a[2]为20,它比它的左右孩子要大,选择较大的孩子(即左孩子)和a[2]交换。
调整完毕,就得到了最大堆。此时,数组{20,30,90,40,70,110,60,10,100,50,80}也就变成了{110,100,90,40,80,20,60,10,30,50,70}。
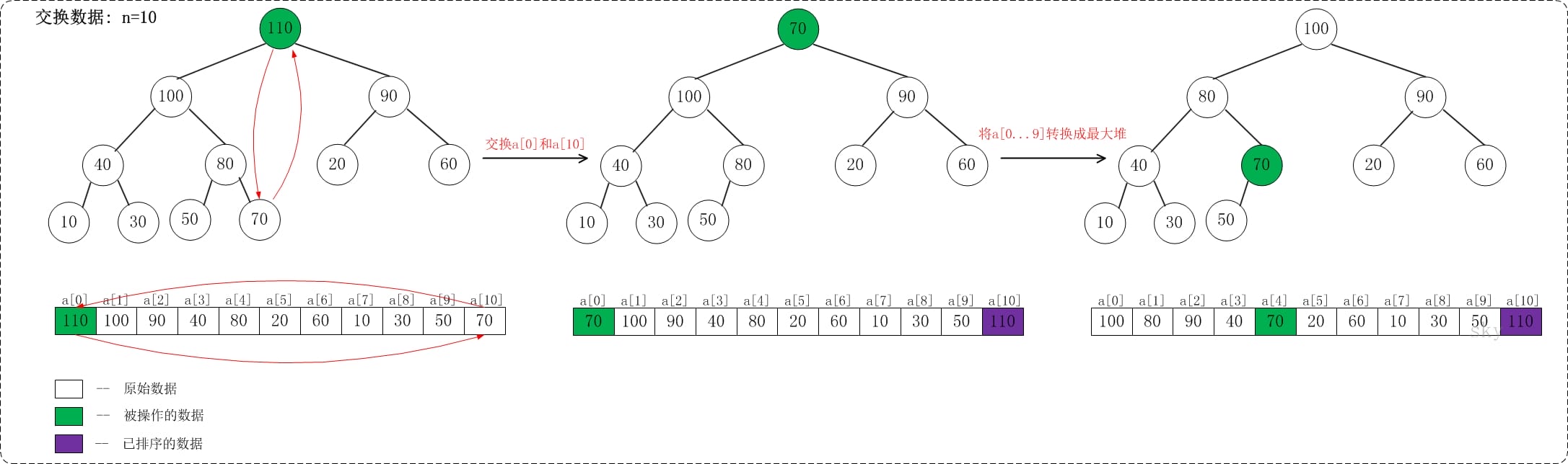
# 交换数据
在将数组转换成最大堆之后,接着要进行交换数据,从而使数组成为一个真正的有序数组。 交换数据部分相对比较简单,下面仅仅给出将最大值放在数组末尾的示意图。

上面是当n=10时,交换数据的示意图。 当n=10时,首先交换a[0]和a[10],使得a[10]是a[0...10]之间的最大值;然后,调整a[0...9]使它称为最大堆。交换之后: a[10]是有序的! 当n=9时, 首先交换a[0]和a[9],使得a[9]是a[0...9]之间的最大值;然后,调整a[0...8]使它称为最大堆。交换之后: a[9...10]是有序的! ... 依此类推,直到a[0...10]是有序的。
# 堆排序复杂度和稳定性
# 堆排序时间复杂度
堆排序的时间复杂度是O(N*lgN)。
假设被排序的数列中有N个数。遍历一趟的时间复杂度是O(N),需要遍历多少次呢? 堆排序是采用的二叉堆进行排序的,二叉堆就是一棵二叉树,它需要遍历的次数就是二叉树的深度,而根据完全二叉树的定义,它的深度至少是lg(N+1)。最多是多少呢? 由于二叉堆是完全二叉树,因此,它的深度最多也不会超过lg(2N)。因此,遍历一趟的时间复杂度是O(N),而遍历次数介于lg(N+1)和lg(2N)之间;因此得出它的时间复杂度是O(N*lgN)。
# 堆排序稳定性
堆排序是不稳定的算法,它不满足稳定算法的定义。它在交换数据的时候,是比较父结点和子节点之间的数据,所以,即便是存在两个数值相等的兄弟节点,它们的相对顺序在排序也可能发生变化。
算法稳定性 -- 假设在数列中存在a[i]=a[j],若在排序之前,a[i]在a[j]前面;并且排序之后,a[i]仍然在a[j]前面。则这个排序算法是稳定的!
# 代码实现
/**
* 堆排序: Java
*
* @author skywang
* @date 2014/03/11
*/
public class HeapSort {
/*
* (最大)堆的向下调整算法
*
* 注: 数组实现的堆中,第N个节点的左孩子的索引值是(2N+1),右孩子的索引是(2N+2)。
* 其中,N为数组下标索引值,如数组中第1个数对应的N为0。
*
* 参数说明:
* a -- 待排序的数组
* start -- 被下调节点的起始位置(一般为0,表示从第1个开始)
* end -- 截至范围(一般为数组中最后一个元素的索引)
*/
public static void maxHeapDown(int[] a, int start, int end) {
int c = start; // 当前(current)节点的位置
int l = 2*c + 1; // 左(left)孩子的位置
int tmp = a[c]; // 当前(current)节点的大小
for (; l <= end; c=l,l=2*l+1) {
// "l"是左孩子,"l+1"是右孩子
if ( l < end && a[l] < a[l+1])
l++; // 左右两孩子中选择较大者,即m_heap[l+1]
if (tmp >= a[l])
break; // 调整结束
else { // 交换值
a[c] = a[l];
a[l]= tmp;
}
}
}
/*
* 堆排序(从小到大)
*
* 参数说明:
* a -- 待排序的数组
* n -- 数组的长度
*/
public static void heapSortAsc(int[] a, int n) {
int i,tmp;
// 从(n/2-1) --> 0逐次遍历。遍历之后,得到的数组实际上是一个(最大)二叉堆。
for (i = n / 2 - 1; i >= 0; i--)
maxHeapDown(a, i, n-1);
// 从最后一个元素开始对序列进行调整,不断的缩小调整的范围直到第一个元素
for (i = n - 1; i > 0; i--) {
// 交换a[0]和a[i]。交换后,a[i]是a[0...i]中最大的。
tmp = a[0];
a[0] = a[i];
a[i] = tmp;
// 调整a[0...i-1],使得a[0...i-1]仍然是一个最大堆。
// 即,保证a[i-1]是a[0...i-1]中的最大值。
maxHeapDown(a, 0, i-1);
}
}
/*
* (最小)堆的向下调整算法
*
* 注: 数组实现的堆中,第N个节点的左孩子的索引值是(2N+1),右孩子的索引是(2N+2)。
* 其中,N为数组下标索引值,如数组中第1个数对应的N为0。
*
* 参数说明:
* a -- 待排序的数组
* start -- 被下调节点的起始位置(一般为0,表示从第1个开始)
* end -- 截至范围(一般为数组中最后一个元素的索引)
*/
public static void minHeapDown(int[] a, int start, int end) {
int c = start; // 当前(current)节点的位置
int l = 2*c + 1; // 左(left)孩子的位置
int tmp = a[c]; // 当前(current)节点的大小
for (; l <= end; c=l,l=2*l+1) {
// "l"是左孩子,"l+1"是右孩子
if ( l < end && a[l] > a[l+1])
l++; // 左右两孩子中选择较小者
if (tmp <= a[l])
break; // 调整结束
else { // 交换值
a[c] = a[l];
a[l]= tmp;
}
}
}
/*
* 堆排序(从大到小)
*
* 参数说明:
* a -- 待排序的数组
* n -- 数组的长度
*/
public static void heapSortDesc(int[] a, int n) {
int i,tmp;
// 从(n/2-1) --> 0逐次遍历每。遍历之后,得到的数组实际上是一个最小堆。
for (i = n / 2 - 1; i >= 0; i--)
minHeapDown(a, i, n-1);
// 从最后一个元素开始对序列进行调整,不断的缩小调整的范围直到第一个元素
for (i = n - 1; i > 0; i--) {
// 交换a[0]和a[i]。交换后,a[i]是a[0...i]中最小的。
tmp = a[0];
a[0] = a[i];
a[i] = tmp;
// 调整a[0...i-1],使得a[0...i-1]仍然是一个最小堆。
// 即,保证a[i-1]是a[0...i-1]中的最小值。
minHeapDown(a, 0, i-1);
}
}
public static void main(String[] args) {
int i;
int a[] = {20,30,90,40,70,110,60,10,100,50,80};
System.out.printf("before sort:");
for (i=0; i<a.length; i++)
System.out.printf("%d ", a[i]);
System.out.printf("\n");
heapSortAsc(a, a.length); // 升序排列
//heapSortDesc(a, a.length); // 降序排列
System.out.printf("after sort:");
for (i=0; i<a.length; i++)
System.out.printf("%d ", a[i]);
System.out.printf("\n");
}
}
2
3
4
5
6
7
8
9
10
11
12
13
14
15
16
17
18
19
20
21
22
23
24
25
26
27
28
29
30
31
32
33
34
35
36
37
38
39
40
41
42
43
44
45
46
47
48
49
50
51
52
53
54
55
56
57
58
59
60
61
62
63
64
65
66
67
68
69
70
71
72
73
74
75
76
77
78
79
80
81
82
83
84
85
86
87
88
89
90
91
92
93
94
95
96
97
98
99
100
101
102
103
104
105
106
107
108
109
110
111
112
113
114
115
116
117
118
119
120
121
122
123
124
125
126
127
128
129
130
131
132
133
134
135
136
137
# 参考文章
提示
本文主要参考至 https://www.cnblogs.com/skywang12345/p/3602162.html, 在此基础上做了内容的增改。